Coherent destruction of tunneling in diamond
Poster presented at the International Workshop in Dresden on the occasion of Prof. Peter Hanggi's 60th birthday
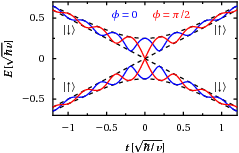
Abstract: Nitrogen vacancy (NV) centers in diamond are promising candidate qubits for quantum information processing. Recently it has been shown experimentally that their quantum states can be manipulated fast by short and strong light pulses. I proposed that also in the strong-coupling regime and for a smaller interaction between the qubit states, coherent destruction of tunneling (CDT) could be observed in diamond, both with pulsed and with continuously driven NV centers. Shortly after, CDT in diamond was reported for continuous driving. NV centers are becoming the work horse for quantum state manipulation in the strong-coupling regime. Besides their efficient interaction with light, NV centers can also be manipulated with magnetic fields. This is the basis for a possible coherent interaction between a collection of NV centers with a flux qubit, forming an interesting hybrid quantum system, where the strong optical transitions of the NVs may enable an interface between superconducting qubits and light.
Coherence and entanglement dynamics of exciton qubits
Seminar given at AMOLF, Amsterdam
This talk is about the dynamics of spatially separated qubits under influence of a common thermal bosonic bath. Exciton qubits with deformation-potential coupling to their solid-state environment are an important example. We show how the spatial separation of the qubits turns decoherence-free subspaces into at best decoherence-poor subspaces. This point is missed when employing the usual master equation. After state preparation, there is fast non-markovian initial dynamics due to the environment. The dynamics depends strongly on the dimension of the bosonic bath. We present new and useful analytical expressions for this N-qubit dynamics. We discuss the different rates at which quantum errors due to the initial dynamics should be corrected. This talk reports on work done in collaboration with Roland Doll, Sigmund Kohler, and Peter Hanggi.
Gauging a quantum heat bath with dissipative Landau-Zener transitions
Poster presented at Physics @ Veldhoven conference, FOM meeting, The Netherlands
Abstract: We calculate the exact Landau-Zener transition probabilities for a qubit with arbitrary linear coupling to a bath at T = 0 (K). The bath causes time-dependent relaxation of the qubit; dephasing has little or no influence. Applications include circuit QED and adiabatic quantum computation. A qubit undergoing LZ transitions is a robust "bath detector".
download poster as pdf (1 page, A4 size) | Original publication
Landau-Zener transitions in circuit QED
Invited lecture given in Herrsching (Germany) at the International Workshop on Solid State Based Quantum information Processing
Abstract: In the standard Landau-Zener (LZ) problem, the energies of a two-level system cross linearly in time, while their interaction is constant. But what happens in the semiclassical "Landau-Zener meets Rabi problem", where the interaction is harmonic in time? Exact LZ transition probabilities in qubit-oscillator systems, for exampe in circuit QED, are also presented.
Quantum electrodynamics of photonic and of absorbing dielectric media
Seminar given in Amsterdam at symposium on the occasion of Leendert Suttorp's 65th birthday
Abstract: Part I: radiative and bound modes in one-dimensional photonic crystals. Spontaneous emission and superradiance in finite photonic crystals. Green-function techniques. Part II: microscopic justification of phenomenological quantization procedures for inhomogeneous light-absorbing dielectrics.






